1. Тип 15 № 507258 

Классификатор алгебры: Неравенства с логарифмами по переменному основанию
Методы алгебры: Метод интервалов, Рационализация неравенств. Логарифмы
Кодификатор ФИПИ/Решу ЕГЭ: 2.2.9 Метод интервалов
Неравенства. Неравенства с логарифмами по переменному основанию, применение рационализации
i
Решите неравенство 
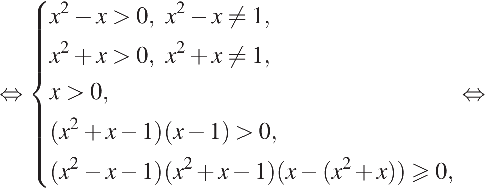
Решение. Решим неравенство методом рационализации:







Ответ: (−4; −3) ∪ (−1; 3).
Критерии проверки:
| Критерии оценивания выполнения задания | Баллы |
|---|---|
| Обоснованно получен верный ответ | 2 |
| Обоснованно получен ответ, отличающийся от верного исключением точек, ИЛИ получен неверный ответ из-за вычислительной ошибки, но при этом имеется верная последовательность всех шагов решения | 1 |
| Решение не соответствует ни одному из критериев, перечисленных выше. | 0 |
| Максимальный балл | 2 |
Ответ: (−4; −3) ∪ (−1; 3).
507258
(−4; −3) ∪ (−1; 3).
Классификатор алгебры: Неравенства с логарифмами по переменному основанию
Методы алгебры: Метод интервалов, Рационализация неравенств. Логарифмы
Кодификатор ФИПИ/Решу ЕГЭ: 2.2.9 Метод интервалов




совпадает со знаком выражения
Знак множителя
совпадает со знаком выражения
которое на области определения неравенства всегда положительно. Таким образом, на области определения исходное неравенство равносильно неравенству 





третий сомножитель не дает корней. Определим знаки левой части на ОДЗ (см. рис.):
получаем:










равносильно неравенству 





















получаем:




получаем
или 













при всех
или 













или 




















Имеем:




или 

при любых значениях х. Значит, логарифм положителен, если его основание больше 1, т. е. при
и отрицателен, если его основание меньше 1, если
выражение 3x + 7 положительно, а при
исходное неравенство равносильно неравенству
откуда 


имеют одинаковые знаки. Поэтому при условиях 





при любых значениях x. Значит, выражение
положительно при
и не определено при
исходное неравенство равносильно неравенству
откуда
Таким образом, решение исходного неравенства: 

и
имеем:


























следует, что
поскольку основание этого логарифма больше 2, аргумент больше 1, причем аргумент меньше основания. Тогда для выполнения неравенства основание внешнего логарифма должно быть меньше 1, откуда
при 






















в виде 


на ОДЗ совпадает со знаком дроби 














Применим ее к обеим частям неравенства и воспользуемся методом рационализации:













то есть при 




































тогда























тогда исходное неравенство принимает вид








сложим их, затем перейдем к основанию 6 и вычтем из полученной левой части правую часть неравенства; затем применим метод рационализации:








тогда






















Применим метод рационализации:






















:

































откуда
то есть
Полученное неравенство решим методом рационализации:





























и
используя геометрический смысл модуля. Решение первого уравнения — множество точек числовой прямой, находящихся на расстоянии 1 от точки
Это точки
равна 4. Это точки
или 




Тогда











или 









а потому выражение в скобках положительно, и на него можно разделить. Далее применим метод рационализации:


























и
совпадают, а потому исходное неравенство равносильно следующим:


























что равносильно неравенству 




















На этом множестве справедливо тождество 
тогда











совпадает со знаком выражения
Получаем:




















и
на ОДЗ имеют один знак. Получим:


















совпадает со знаком выражения
а знак выражения вида
совпадает со знаком выражения
Получим:




