
Найдите все значения параметра a, при каждом из которых уравнение

имеет один корень на отрезке [0; 1].
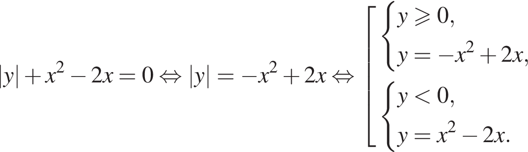
Решение. Преобразуем уравнение:




В системе координат xOa графиками уравнений являются прямые
и
При неотрицательных значениях x неравенству
удовлетворяют точки лежащие одновременно не ниже прямой
и не выше прямой
Решение полученной системы на отрезке [0; 1] выделено оранжевым цветом. Абсциссы точек A и B пересечения прямых найдём из уравнений:

Откуда

Анализируя график, получаем, что исходное уравнение на отрезке [0; 1]:
— при
не имеет корней;
— при
имеет один корень;
— при
имеет два корня;
— при
имеет один корень;
— при
не имеет корней.
Таким образом, исходное уравнение на отрезке [0; 1] имеет один корень при
или при
Ответ: 
| Критерии оценивания выполнения задания | Баллы |
|---|---|
| Обоснованно получен верный ответ | 4 |
| С помощью верного рассуждения получены верные значения параметра, но допущен недочет | 3 |
| С помощью верного рассуждения получен неверный ответ из-за вычислительной ошибки, при этом верно выполнены все шаги решения, ИЛИ в решении верно найдены все граничные точки множества значений параметра, но неверно определены промежутки значений | 2 |
| В случае аналитического решения: задача верно сведена к набору решенных уравнений и неравенств с учетом требуемых ограничений, ИЛИ в случае графического решения: задача верно сведена к исследованию взаимного расположения линий (изображены необходимые фигуры, учтены ограничения, указана связь исходной задачи с построенными фигурами) | 1 |
| Решение не соответствует ни одному из критериев, перечисленных выше | 0 |
| Максимальный балл | 4 |







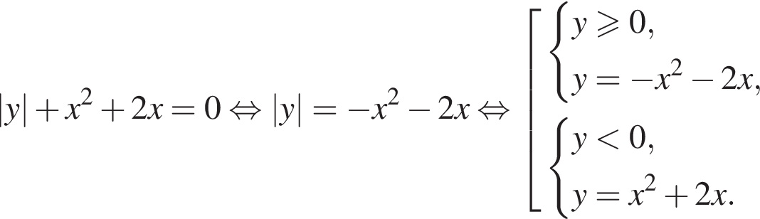
При неотрицательных значениях x неравенству

и 
не имеет корней;
имеет один корень;
имеет два корня;





При неотрицательных значениях x неравенству

не имеет корней;
имеет один корень;


Получаем
при условии 





условие принимает вид
откуда
То есть в этом случае 



при
и
,
или с учетом принадлежности корней указанному отрезку:
и 











Решение полученной совокупности на отрезке [0; 1] выделено оранжевым цветом. Ключевыми для ответа на вопрос задачи являются ординаты точек

имеет два корня;
имеет один корень;








Решение полученной совокупности выделено оранжевым цветом. Ключевыми для ответа на вопрос задачи являются ординаты точек
и
имеет один корень;





Тогда корень
принадлежит отрезку [4; 8] и удовлетворяет ОДЗ. Тогда уравнение имеет единственное решение на заданном отрезке, если второй корень не принадлежит отрезку [4; 8] или не удовлетворяет ОДЗ. Имеем:




принадлежит отрезку [4; 8] и удовлетворяет ОДЗ. Тогда уравнение имеет единственное решение на заданном отрезке, если первый корень не принадлежит отрезку [4; 8] или не удовлетворяет ОДЗ. Имеем:





и
лежащие внутри круга, ограниченного окружностью 

найдём, подставив в уравнение окружности 







имеет ровно один корень.
На отрезке
если
и не принадлежит данному отрезку при прочих значениях параметра. Таким образом, исходное уравнение имеет ровно один корень на отрезке
и 

имеет ровно четыре различных решения.
при этом
Исходное уравнение имеет ровно четыре различных решения, тогда и только тогда, когда полученное уравнение является квадратным и имеет два положительных корня. Тогда
то есть
откуда 













c концом в точке
во втором — прямую l, задаваемую уравнением х = 3, в третьем — дугу
с концом в точке А (см. рис.).
и
как квадратные относительно x и найдем, при каких значениях параметра их дискриминанты обращаются в нуль. Тем самым, при
и
имеет две общие точки с дугой
имеет одну общую точку с дугой
и 

или
; возможно, с включением граничных точек
и
Первый график — парабола
и второй — прямая
разбивают полуплоскость на 4 части, в двух из которых (выделены зелёным) неравенство выполняется.
является пучок прямых
проходящих через точку с координатами
имеет только одну общую точку с выделенными зелёным частями плоскости. Это достигается в двух случаях.
(выделено оранжевым). Тогда
должно иметь единственное решение. Запишем его в виде
и найдем дискриминант:


или
При
абсцисса точки касания положительна, что не соответствует условию задачи. При 
не имеет решений;
имеет бесконечное число решений;
имеет одно решение;
имеет бесконечное число решений.


его графиком являются две параболы, симметричные относительно оси абсцисс, с общими точками (0; 0) и (2; 0).
Решим соответствующее уравнение и найдём нуль дискриминанта:
он равен нулю при
откуда



он равен нулю при
откуда

то у прямой y = a – x нет общих точек с графиком
а с графиком
— две общие точки.
то у прямой y = a – x одна общая точка
с графиком
значит, будет 3 общих точки.
то прямая y = a – x пересекает каждую параболу в двух точках, которые не могут совпасть полностью, так как это происходит в точках (0; 0) и (2; 0), поэтому будет минимум 3 решения.
то у прямой y = a – x одна общая точка
с графиком
то у прямой y = a – x нет общих точек с графиком
— две общие точки. 
имело равно два различных решения.


дискриминант уравнения (2) равен
его корни 


значит,
Необходимо, чтобы 
x1 = x3, x2 = x4:













— не подходит.

значит, 
— не подходит.
— не подходит.

его графиком являются две параболы, симметричные относительно оси абсцисс, с общими точками (0; 0) и (4; 0).
является касательной к графику
Решим соответствующее уравнение и найдём нуль дискриминанта:
он равен нулю при
откуда 


он равен нулю при
откуда

то у прямой
а с графиком
— две общие точки.
то у прямой
с графиком
значит, будет 3 общих точки.
то прямая
то у прямой
с графиком
то у прямой
— две общие точки.
имело равно два различных решения.


дискриминант уравнения (2) равен
его корни 

значит,
Необходимо, чтобы 















значит,
Необходимо, чтобы 



его графиком являются две параболы, симметричные относительно оси абсцисс, с общими точками (0; 0) и (−2; 0).
Решим соответствующее уравнение и найдём нуль дискриминанта:
он равен нулю при
откуда


он равен нулю при
откуда
то у прямой y = 2a – x нет общих точек с графиком
а с графиком
— две общие точки.
то у прямой y = 2a – x одна общая точка
с графиком
значит, будет 3 общих точки.
то прямая y = 2a – x пересекает каждую параболу в двух точках, которые не могут совпасть полностью, так как это происходит в точках (0; 0) и (−2; 0), поэтому будет минимум 3 решения.
то у прямой y = 2a – x одна общая точка
с графиком
то у прямой y = 2a – x нет общих точек с графиком
— две общие точки. 
имело равно два различных решения.


дискриминант уравнения (2) равен
его корни 

значит,
Необходимо, чтобы 

















значит, 


получают сдвигом графика функции 
построенных на отрезке [−8; 0].
касается левой и правой ветвей графика функции
то есть прямых
соответственно. Найдем 


Дискриминант обращается в нуль при
При этом абсцисса точки касания
удовлетворяет условию
Аналогично найдем 


он обращается в нуль при
При этом абсцисса точки касания
удовлетворяет условию
графики пересекаются ровно в трех точках. При
и
графики пересекаются в ровно в четырех точках. При
и при
одна из ветвей графика модуля не пересекается с графиком второго уравнения, а другая ветвь имеет с ним не больше двух точек пересечения, поэтому прочие значения параметра не удовлетворяют условию.

получают сдвигом графика функции 




и
построенных на отрезке [0; 2].
касается левой и правой ветвей графика функции
то есть прямых
и
соответственно. Найдем 


Дискриминант обращается в нуль при
При этом абсцисса точки касания
удовлетворяет условию
Аналогично найдем 


он обращается в нуль при
При этом абсцисса точки касания
удовлетворяет условию
и
графики пересекаются в ровно в четырех точках. При 

представляет собой график функции
сдвинутый на 
является касательной к параболе
а прямая
— касательной к параболе


что противоречит второму уравнению системы. При
задает на координатной плоскости квадрат с вершинами на координатных осях и диагоналями, равными 2a. График второго уравнения получается из графика функции
сдвигом на четыре единицы влево вдоль оси абсцисс.
имеет единственное решение. Имеем:



имеет единственное решение в том случае, если дискриминант равен нулю. Решим уравнение 


имеет единственное решение в том случае, если дискриминант равен нулю. Решим уравнение 


и
касаются при
При найденном значении а абсциссой точки касания является
эта точка действительно лежит на стороне квадрата. Следовательно, система уравнений имеет два решения при
и 


при
имеет единственное решение. Имеем:



имеет единственное решение в том случае, если дискриминант равен нулю. Решим уравнение D = 0:


имеет единственное решение в том случае, если дискриминант равен нулю. Решим уравнение D = 0:


и
касаются при a = 9,25. При найденном значении а абсциссой точки касания является
эта точка действительно лежит на стороне квадрата. Следовательно, система уравнений имеет два решения при
и a = 9,25.


получаем, что каждому значению x, удовлетворяющему системе, соответствует ровно одно значение y. Поэтому количество решений системы совпадает с количеством корней уравнения
Рассмотрим два случая раскрытия модуля.
то 
принимает вид











раскрывая модуль, получаем уравнение
решениями которого являются
Для найденных решений неравенство
принимает вид










два решения — случаи 2а) и 2б).
по два решения из каждого пункта, итого четыре решения.
два решения — случаи 1а) и 2б).
по два решения из каждого пункта, итого четыре решения.





Второе — часть гиперболы
при
если
Ясно, что при
тогда








Теперь из геометрических соображений получаем, что при
решений системы не меньше двух. Если же
то решение ровно одно. В итоге получаем ответ: 

получают сдвигом графика функции
на 1 единицу вверх вдоль оси Oy и на |a| единиц вдоль оси Ox. Второе уравнение системы запишем в виде 




и
построенных на отрезке [−2; 0].
то есть прямых
и
соответственно. Найдем 


он обращается в нуль при
При этом абсцисса точки касания
удовлетворяет условию
Аналогично найдем 


Дискриминант обращается в нуль при
При этом абсцисса точки касания
удовлетворяет условию
изображены зеленым и красным цветом).
и
графики пересекаются в ровно в четырех точках. При
и при
одна из ветвей графика модуля не пересекается с графиком второго уравнения, а другая ветвь имеет с ним не больше двух точек пересечения, поэтому прочие значения параметра не удовлетворяют условию.
и/или 
множества значений a, возможно, с включением граничных точек 






заключаем, что каждое из полученных в левой части уравнения слагаемых неотрицательно, поэтому их сумма равна нулю тогда и только тогда, когда каждое из них равно нулю:






значит,
значит, 







откуда 
Найдем дискриминант: 


что невозможно ни при каких p или при
(см. первое уравнение совокупности).
Подставим 

тогда 








или
и получена хотя бы одна из точек
и множества значений
и
множества значений a.






поэтому правая часть равенства неотрицательна при всех значениях переменной. Левая часть уравнение неположительна, значит, равенство достигается тогда и только тогда, когда обе части равны нулю:



При прочих значениях параметра уравнение решений не имеет.
или
и получена хотя бы одна из точек
и
множества значений a.



тогда уравнение можно записать в виде
не принимает положительных значений. При
а тогда уравнение (⁎) равносильно уравнению 

тогда уравнение (⁎⁎), а вместе с ним и исходное уравнение имеют хотя бы один корень тогда и только тогда, когда хотя бы один неотрицательный корень имеет уравнение


Окружность пересекает вертикальную ось в точках −1 и 1 (см. рис.), уравнение имеет хотя бы одно неотрицательное решение, если 





тогда исходное уравнение принимает вид:

или
Исследуем сколько решений имеет уравнение
в зависимости от a и
График левой части этого уравнения — график модуля с вершиной в точке
график правой части — график модуля, отражённый относительно
лежит правее (выше) прямой
и прямая
лежит левее (выше) прямой
Это достигается условиями
и
Таким образом, уравнение совокупности имеет два решения при условии:
то уравнение имеет два решения, если прямые
и
или
или 





откуда
При данном значении a оба уравнения принимают вид:




и
и 



и 



или
или
исходное уравнение не имеет решений.
.