
Решите неравенство



Решение. Сделаем замену:
Тогда






Неравенство принимает вид:
откуда

Это неравенство выполняется тогда и только тогда, когда
Получаем:






Ответ: ![]()
Примечание.
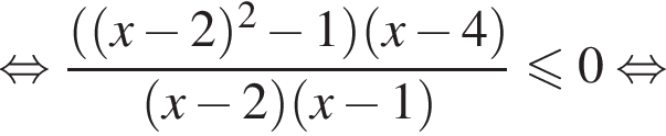
Задача допускает решение без замены переменной: тождественными преобразованиями данное неравенство приводится к
откуда также получается ответ 
Приведем решение Наиля Мусина для нахождения нулей числителя.
Выполним преобразования:



Для нахождения нулей числителя сделаем замену
Заметим, что






Для нахождения нулей числителя решим уравнение:

Возвращаясь к исходным переменным, получим

| Критерии оценивания выполнения задания | Баллы |
|---|---|
| Обоснованно получен верный ответ | 2 |
| Обоснованно получен ответ, отличающийся от верного исключением точек, ИЛИ получен неверный ответ из-за вычислительной ошибки, но при этом имеется верная последовательность всех шагов решения | 1 |
| Решение не соответствует ни одному из критериев, перечисленных выше. | 0 |
| Максимальный балл | 2 |

























или 




















получаем:





или 

тогда получим



получаем:























































получаем: 























а их произведение равно
Поэтому корни этого уравнения — числа 



















выполнено при всех x, кроме x = –0,7 и x = 0,8.


















Получим


























и 






и 


Получим:



















Применим эту формулу к каждому слагаемому левой части, получим:


























по формуле разности кубов, получим:


















Получим



















:



































или 















и применим формулу квадрата разности. Получим:






















или
или 









или













