Решите уравнение 
Решение. Уравнение имеет смысл если
Приравняем числитель к нулю:





Учитывая условие
получаем, что серии
и
не являются решениями исходного уравнения.
Ответ: 
Критерии проверки:
| Критерии оценивания выполнения задания | Баллы |
|---|---|
| Обоснованно получены верные ответы в обоих пунктах. | 2 |
| Обоснованно получен верный ответ в пункте а), ИЛИ получены неверные ответы из-за вычислительной ошибки, но при этом имеется верная последовательность всех шагов решения пункта а) и пункта б). | 1 |
| Решение не соответствует ни одному из критериев, перечисленных выше. | 0 |
| Максимальный балл | 2 |
Ответ: 

507633









получаем:


Получаем: 
получаем:



выражение
положительно при всех допустимых 


числа
не являются решениями уравнения.

то
откуда
Если
то 




числа
не являются решениями уравнения.

Поэтому множитель
положителен. Рассмотрим два случая.
тогда 
тогда 
получаем, что числа
не являются решениями данного уравнения.

тогда








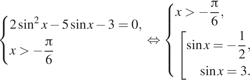
В уравнении сделаем замену
и решим уравнение
или
и
на тригонометрической окружности соответствует четыре точки. Две из них, находящиеся в верхней полуплоскости, не удовлетворяют условию 




тогда уравнение принимает вид:

















или
Последнее уравнение не имеет решений, а из первого, учитывая, что 


























так как
Решением уравнения
является
Одно из которых лежит в первой четверти (и, значит, для него неравенство
не выполняется), а другое — в четвертой четверти (для него неравенство




















то
Поэтому 











удовлетворяет только
и 





решений не имеет. Учитывая, что
получаем: 





или 
















