Найдите все значения параметра a, при которых уравнение
имеет три корня.
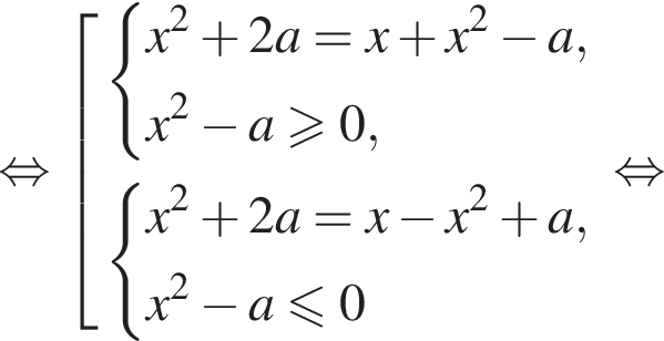
Решение. Раскроем модуль по определению:





Изобразим решение полученной совокупности двух систем на плоскости xOa. Графиком первой системы являются участки прямой
лежащие ниже параболы
Графиком второй системы — часть параболы
лежащая выше параболы
Пусть вершина параболы
— точка с координатами
а точки пересечения этой параболы с параболой
суть точки
и
Найдём эти координаты.
Вершина параболы:

Точки пересечения парабол:

Значит,
Заметим, что 
Построим график исходного уравнения (см. рис., выделено синим). По графику находим, что при
или
уравнение имеет один корень, при
или
— два корня, при
— три корня. Таким образом, уравнение имеет три корня при 
Ответ: 
| Критерии оценивания выполнения задания | Баллы |
|---|---|
| Обоснованно получен правильный ответ. | 4 |
| С помощью верного рассуждения получен ответ, но в решении допущена вычислительная ошибка или оно недостаточно обосновано | 3 |
| С помощью верного рассуждения получен ответ, но в ходе решения допущена одна ошибка, отличная от вычислительной | 2 |
| Получены некоторые верные значения параметра, однако решение содержит более одной ошибки | 1 |
| Решение не соответствует ни одному из критериев, перечисленных выше. | 0 |


