Школа экспертов
Вернуться на основную страницу «Школы экспертов»

Ниже представлены ученические решения экзаменационных заданий. Оцените каждое из них в соответствии с критериями проверки заданий ЕГЭ. После нажатия кнопки «Проверить» вы узнаете правильный балл за каждое из решений. В конце будут подведены итоги.

Задание 484643
Задание 484645
Задание 500135
Задание 507187
Задание 507190
Задание 507191
Задание 507192


Задание № 484643

Най­ди­те все зна­че­ния a, при каж­дом из ко­то­рых мно­же­ством ре­ше­ний не­ра­вен­ства  ко­рень из: на­ча­ло ар­гу­мен­та: 5 минус x конец ар­гу­мен­та плюс |x плюс a| мень­ше или равно 3 яв­ля­ет­ся от­ре­зок.


Решение

Пе­ре­пи­шем не­ра­вен­ство в виде  ко­рень из: на­ча­ло ар­гу­мен­та: 5 минус x конец ар­гу­мен­та мень­ше или равно 3 минус |x плюс a|, и на­ри­су­ем эс­ки­зы гра­фи­ков левой и пра­вой ча­стей не­ра­вен­ства.

Из ри­сун­ка видно, что гра­фик пра­вой части не­ра­вен­ства лежит выше гра­фи­ка левой при a при­над­ле­жит левая круг­лая скоб­ка минус 8, 4 пра­вая круг­лая скоб­ка . За­ме­тим, что при a= минус 2, ре­ше­ни­ем кроме от­рез­ка ста­но­вит­ся еще и точка x=5, что про­ти­во­ре­чит усло­вию.

При даль­ней­шем умень­ше­нии a в ре­ше­ние будет по­па­дать еще один от­ре­зок с пра­вым кон­цом в точке x=5. Левый конец будет сдви­гать­ся вплоть до слу­чая ка­са­ния при ко­то­ром ре­ше­ние снова пре­вра­тит­ся в один от­ре­зок.

Рас­смот­рим слу­чай ка­са­ния:

 левая круг­лая скоб­ка ко­рень из: на­ча­ло ар­гу­мен­та: 5 минус x конец ар­гу­мен­та пра­вая круг­лая скоб­ка '= минус 1 рав­но­силь­но дробь: чис­ли­тель: минус 1, зна­ме­на­тель: 2 ко­рень из: на­ча­ло ар­гу­мен­та: 5 минус x конец ар­гу­мен­та конец дроби = минус 1 рав­но­силь­но 5 минус x= дробь: чис­ли­тель: 1, зна­ме­на­тель: 4 конец дроби рав­но­силь­но x=4 дробь: чис­ли­тель: 3, зна­ме­на­тель: 4 конец дроби ,

тогда

 ко­рень из: на­ча­ло ар­гу­мен­та: 5 минус 4 дробь: чис­ли­тель: 3, зна­ме­на­тель: 4 конец дроби конец ар­гу­мен­та =3 минус левая круг­лая скоб­ка 4 дробь: чис­ли­тель: 3, зна­ме­на­тель: 4 конец дроби плюс a пра­вая круг­лая скоб­ка рав­но­силь­но a= минус 2 дробь: чис­ли­тель: 1, зна­ме­на­тель: 4 конец дроби .

Итак, ин­тер­вал  левая круг­лая скоб­ка минус 2 дробь: чис­ли­тель: 1, зна­ме­на­тель: 4 конец дроби ; минус 2 пра­вая квад­рат­ная скоб­ка не удо­вле­тво­ря­ет усло­вию за­да­чи.

 

Ответ: a при­над­ле­жит левая круг­лая скоб­ка минус 8; минус 2 дробь: чис­ли­тель: 1, зна­ме­на­тель: 4 конец дроби пра­вая квад­рат­ная скоб­ка \cup левая круг­лая скоб­ка минус 2,4 пра­вая круг­лая скоб­ка .



Кри­те­рии оце­ни­ва­ния от­ве­та на за­да­ние С5 Баллы
Обос­но­ван­но по­лу­чен вер­ный ответ. 4
Рас­смот­ре­ны все воз­мож­ные слу­чаи. По­лу­чен вер­ный ответ, но ре­ше­ние либо со­дер­жит про­бе­лы, либо вы­чис­ли­тель­ную ошиб­ку или опис­ку. 3
Рас­смот­ре­ны все воз­мож­ные слу­чаи. По­лу­чен ответ, но ре­ше­ние со­дер­жит ошиб­ки. 2
Рас­смот­ре­ны не­ко­то­рые слу­чаи. Для рас­смот­рен­ных слу­ча­ев по­лу­чен ответ, воз­мож­но не­вер­ный из-за оши­бок. 1
Все про­чие слу­чаи. 0
Мак­си­маль­ное ко­ли­че­ство бал­лов 4


При­мер 1.

Оцените это решение в баллах:

При­мер 2.

Оцените это решение в баллах:

При­мер 3.

Оцените это решение в баллах:



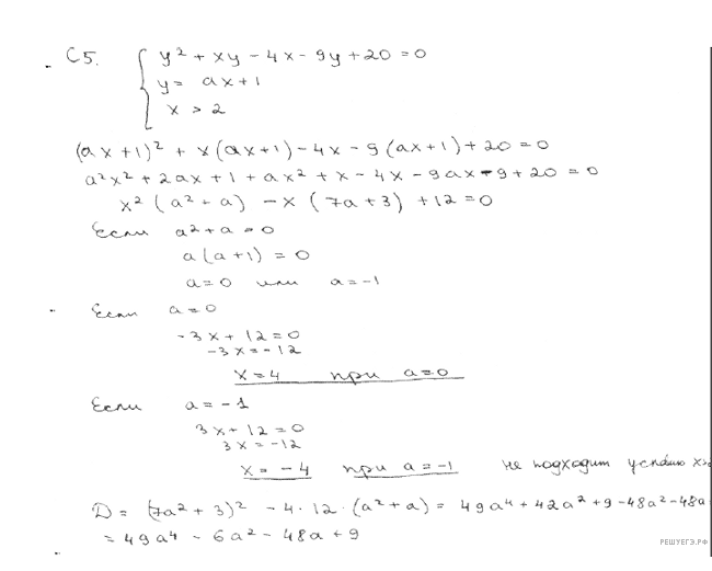
Задание № 484645

Най­ди­те все зна­че­ния па­ра­мет­ра a, при каж­дом из ко­то­рых си­сте­ма

 си­сте­ма вы­ра­же­ний  новая стро­ка y в квад­ра­те плюс xy минус 4x минус 9y плюс 20=0,  новая стро­ка y=ax плюс 1,  новая стро­ка x боль­ше 2 конец си­сте­мы .

имеет един­ствен­ное ре­ше­ние.


Решение

Пре­об­ра­зу­ем ис­ход­ную си­сте­му:

 си­сте­ма вы­ра­же­ний  новая стро­ка левая круг­лая скоб­ка y минус 4 пра­вая круг­лая скоб­ка x плюс y в квад­ра­те минус 9y плюс 20=0,  новая стро­ка y=ax плюс 1,  новая стро­ка x боль­ше 2 конец си­сте­мы . рав­но­силь­но си­сте­ма вы­ра­же­ний  новая стро­ка левая круг­лая скоб­ка y минус 4 пра­вая круг­лая скоб­ка x плюс левая круг­лая скоб­ка y минус 4 пра­вая круг­лая скоб­ка левая круг­лая скоб­ка y минус 5 пра­вая круг­лая скоб­ка =0,  новая стро­ка y=ax плюс 1,  новая стро­ка x боль­ше 2 конец си­сте­мы . рав­но­силь­но си­сте­ма вы­ра­же­ний  новая стро­ка левая круг­лая скоб­ка y минус 4 пра­вая круг­лая скоб­ка левая круг­лая скоб­ка x плюс y минус 5 пра­вая круг­лая скоб­ка =0,  новая стро­ка y=ax плюс 1,  новая стро­ка x боль­ше 2. конец си­сте­мы .

Урав­не­ние  левая круг­лая скоб­ка y минус 4 пра­вая круг­лая скоб­ка левая круг­лая скоб­ка x плюс y минус 5 пра­вая круг­лая скоб­ка =0 за­да­ет пару пе­ре­се­ка­ю­щих­ся пря­мых y=4 и y=5 минус x.

Си­сте­ма

 си­сте­ма вы­ра­же­ний  новая стро­ка x боль­ше 2,  новая стро­ка левая круг­лая скоб­ка y минус 4 пра­вая круг­лая скоб­ка левая круг­лая скоб­ка y плюс x минус 5 пра­вая круг­лая скоб­ка =0 конец си­сте­мы .

за­да­ет части этих пря­мых, рас­по­ло­жен­ные пра­вее пря­мой x=2, то есть лучи BD и CE (без точек B и C), см. рис.

Урав­не­ние y=ax плюс 1 за­да­ет пря­мую m с уг­ло­вым ко­эф­фи­ци­ен­том a, про­хо­дя­щую через точку A левая круг­лая скоб­ка 0, 1 пра­вая круг­лая скоб­ка . Сле­ду­ет найти все зна­че­ния a, при каж­дом из ко­то­рых пря­мая m имеет един­ствен­ную общую точку с объ­еди­не­ни­ем лучей BD и CE.

а)  Пря­мая AB за­да­ет­ся урав­не­ни­ем y=1,5x плюс 1. По­это­му при a боль­ше или равно 1,5 пря­мая m не пе­ре­се­чет ни луч BD, ни луч CE.

б)  Пря­мая AC за­да­ет­ся урав­не­ни­ем y=x плюс 1. По­это­му при 1 мень­ше или равно a мень­ше 1,5 пря­мая m пе­ре­се­чет луч BD, но не пе­ре­се­чет луч CE.

в)  При 0 мень­ше a мень­ше 1 пря­мая m пре­се­чет и луч BD, и луч CE.

г)  На­ко­нец, при  минус 1 мень­ше a мень­ше или равно 0 пря­мая m пе­ре­се­чет толь­ко луч CE, а при a мень­ше или равно минус 1 она не пе­ре­се­чет ни луч BD, ни луч CE.

 

Ответ: a при­над­ле­жит левая круг­лая скоб­ка минус 1,0 пра­вая квад­рат­ная скоб­ка \cup левая квад­рат­ная скоб­ка 1,1,5 пра­вая круг­лая скоб­ка .





При­мер 1.

Оцените это решение в баллах:

При­мер 2.

Оцените это решение в баллах:



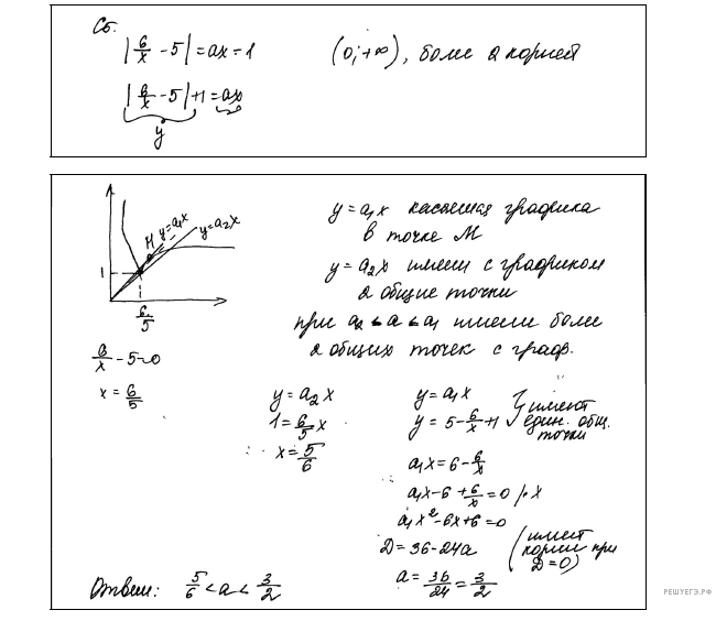
Задание № 500135

Най­ди­те все зна­че­ния а при каж­дом из ко­то­рых урав­не­ние

\left| дробь: чис­ли­тель: 6, зна­ме­на­тель: x конец дроби минус 5|=ax минус 1

на про­ме­жут­ке  левая круг­лая скоб­ка 0; плюс бес­ко­неч­ность пра­вая круг­лая скоб­ка имеет более двух кор­ней.


Решение

Рас­смот­рим функ­ции f левая круг­лая скоб­ка x пра­вая круг­лая скоб­ка =ax минус 1 и g левая круг­лая скоб­ка x пра­вая круг­лая скоб­ка =\left| дробь: чис­ли­тель: 6, зна­ме­на­тель: x конец дроби минус 5|. Ис­сле­ду­ем урав­не­ние f левая круг­лая скоб­ка x пра­вая круг­лая скоб­ка =g левая круг­лая скоб­ка x пра­вая круг­лая скоб­ка на про­ме­жут­ке  левая круг­лая скоб­ка 0; плюс бес­ко­неч­ность пра­вая круг­лая скоб­ка .

 

При a мень­ше или равно 0 все зна­че­ния функ­ции f левая круг­лая скоб­ка x пра­вая круг­лая скоб­ка на про­ме­жут­ке  левая круг­лая скоб­ка 0; плюс бес­ко­неч­ность пра­вая круг­лая скоб­ка от­ри­ца­тель­ны, а все зна­че­ния функ­ции g левая круг­лая скоб­ка x пра­вая круг­лая скоб­ка   — не­от­ри­ца­тель­ны, по­это­му при a мень­ше или равно 0 урав­не­ние f левая круг­лая скоб­ка x пра­вая круг­лая скоб­ка =g левая круг­лая скоб­ка x пра­вая круг­лая скоб­ка не имеет ре­ше­ний на про­ме­жут­ке  левая круг­лая скоб­ка 0; плюс бес­ко­неч­ность пра­вая круг­лая скоб­ка .

 

При a боль­ше 0 функ­ция f левая круг­лая скоб­ка x пра­вая круг­лая скоб­ка воз­рас­та­ет. Функ­ция g левая круг­лая скоб­ка x пра­вая круг­лая скоб­ка убы­ва­ет на про­ме­жут­ке  левая круг­лая скоб­ка 0; дробь: чис­ли­тель: 6, зна­ме­на­тель: 5 конец дроби пра­вая квад­рат­ная скоб­ка , по­это­му урав­не­ние f левая круг­лая скоб­ка x пра­вая круг­лая скоб­ка =g левая круг­лая скоб­ка x пра­вая круг­лая скоб­ка имеет не более од­но­го ре­ше­ния на про­ме­жут­ке  левая круг­лая скоб­ка 0; дробь: чис­ли­тель: 6, зна­ме­на­тель: 5 конец дроби пра­вая квад­рат­ная скоб­ка , при­чем ре­ше­ние будет су­ще­ство­вать тогда и толь­ко тогда, когда, f левая круг­лая скоб­ка дробь: чис­ли­тель: 6, зна­ме­на­тель: 5 конец дроби пра­вая круг­лая скоб­ка боль­ше или равно g левая круг­лая скоб­ка дробь: чис­ли­тель: 6, зна­ме­на­тель: 5 конец дроби пра­вая круг­лая скоб­ка , от­ку­да по­лу­ча­ем a умно­жить на дробь: чис­ли­тель: 6, зна­ме­на­тель: 5 конец дроби минус 1 боль­ше или равно 0, то есть a боль­ше или равно дробь: чис­ли­тель: 5, зна­ме­на­тель: 6 конец дроби .

 

На про­ме­жут­ке  левая круг­лая скоб­ка дробь: чис­ли­тель: 6, зна­ме­на­тель: 5 конец дроби ; плюс бес­ко­неч­ность пра­вая круг­лая скоб­ка урав­не­ние f левая круг­лая скоб­ка x пра­вая круг­лая скоб­ка =g левая круг­лая скоб­ка x пра­вая круг­лая скоб­ка при­ни­ма­ет вид ax минус 1=5 минус дробь: чис­ли­тель: 6, зна­ме­на­тель: x конец дроби . Это урав­не­ние сво­дит­ся к урав­не­нию ax в квад­ра­те минус 6x плюс 6=0. Будем счи­тать, что a боль­ше 0, по­сколь­ку слу­чай a мень­ше или равно 0 был рас­смот­рен ранее. Дис­кри­ми­нант квад­рат­но­го урав­не­ния D=36 минус 24a, по­это­му при a боль­ше дробь: чис­ли­тель: 3, зна­ме­на­тель: 2 конец дроби это урав­не­ние не имеет кор­ней; при a= дробь: чис­ли­тель: 3, зна­ме­на­тель: 2 конец дроби урав­не­ние имеет един­ствен­ный ко­рень, рав­ный 2; при 0 мень­ше a мень­ше дробь: чис­ли­тель: 3, зна­ме­на­тель: 2 конец дроби урав­не­ние имеет два корня.

 

Если урав­не­ние имеет два корня x_1 и x_2, то есть 0 мень­ше a мень­ше дробь: чис­ли­тель: 3, зна­ме­на­тель: 2 конец дроби , то боль­ший ко­рень x_2= дробь: чис­ли­тель: 6 плюс ко­рень из: на­ча­ло ар­гу­мен­та: D конец ар­гу­мен­та , зна­ме­на­тель: 2a конец дроби боль­ше дробь: чис­ли­тель: 3, зна­ме­на­тель: a конец дроби боль­ше 2 боль­ше дробь: чис­ли­тель: 6, зна­ме­на­тель: 5 конец дроби , по­это­му он при­над­ле­жит про­ме­жут­ку  левая круг­лая скоб­ка дробь: чис­ли­тель: 6, зна­ме­на­тель: 5 конец дроби ; плюс бес­ко­неч­ность пра­вая круг­лая скоб­ка . Мень­ший ко­рень x_1 при­над­ле­жит про­ме­жут­ку  левая круг­лая скоб­ка дробь: чис­ли­тель: 6, зна­ме­на­тель: 5 конец дроби ; плюс бес­ко­неч­ность пра­вая круг­лая скоб­ка тогда и толь­ко тогда, когда

 

 a левая круг­лая скоб­ка x_1 минус дробь: чис­ли­тель: 6, зна­ме­на­тель: 5 конец дроби пра­вая круг­лая скоб­ка левая круг­лая скоб­ка x_2 минус дробь: чис­ли­тель: 6, зна­ме­на­тель: 5 конец дроби пра­вая круг­лая скоб­ка =a дробь: чис­ли­тель: 6, зна­ме­на­тель: 5 конец дроби в квад­ра­те минус 6 умно­жить на дробь: чис­ли­тель: 6, зна­ме­на­тель: 5 конец дроби плюс 6= дробь: чис­ли­тель: 36a минус 30, зна­ме­на­тель: 25 конец дроби боль­ше 0, то есть a боль­ше дробь: чис­ли­тель: 5, зна­ме­на­тель: 6 конец дроби

Таким об­ра­зом, урав­не­ние \left| дробь: чис­ли­тель: 6, зна­ме­на­тель: x конец дроби минус 5|=ax минус 1 имеет сле­ду­ю­щее ко­ли­че­ство кор­ней на про­ме­жут­ке  левая круг­лая скоб­ка 0; плюс бес­ко­неч­ность пра­вая круг­лая скоб­ка :

 

- нет кор­ней при a мень­ше или равно 0;

- один ко­рень при 0 мень­ше a мень­ше дробь: чис­ли­тель: 5, зна­ме­на­тель: 6 конец дроби и a боль­ше дробь: чис­ли­тель: 3, зна­ме­на­тель: 2 конец дроби ;

- два корня при a= дробь: чис­ли­тель: 5, зна­ме­на­тель: 6 конец дроби и a= дробь: чис­ли­тель: 3, зна­ме­на­тель: 2 конец дроби ;

- три корня при  дробь: чис­ли­тель: 5, зна­ме­на­тель: 6 конец дроби мень­ше a мень­ше дробь: чис­ли­тель: 3, зна­ме­на­тель: 2 конец дроби .

 

Ответ:  дробь: чис­ли­тель: 5, зна­ме­на­тель: 6 конец дроби мень­ше a мень­ше дробь: чис­ли­тель: 3, зна­ме­на­тель: 2 конец дроби .

 

Решим за­да­чу гра­фи­че­ски.

При a мень­ше или равно 0 нет ре­ше­ний, так как левая часть не­от­ри­ца­тель­ная, а пра­вая часть мень­ше −1. По­стро­им гра­фи­ки функ­ций f левая круг­лая скоб­ка x пра­вая круг­лая скоб­ка =\left| дробь: чис­ли­тель: 6, зна­ме­на­тель: x конец дроби минус 5| (толь­ко по­ло­жи­тель­ную часть) и g левая круг­лая скоб­ка x пра­вая круг­лая скоб­ка =ax минус 1. От­ме­тим, что g левая круг­лая скоб­ка x пра­вая круг­лая скоб­ка =ax минус 1  — это пря­мые, про­хо­дя­щие через точку (0; −1).

Три ре­ше­ния это урав­не­ние будет иметь, когда пря­мые y=ax минус 1 будут ле­жать между пря­мы­ми m и n. Уг­ло­вой ко­эф­фи­ци­ент пря­мой n равен a= дробь: чис­ли­тель: 5, зна­ме­на­тель: 6 конец дроби . Для точек пе­ре­се­че­ния пря­мой m с вет­вью ги­пер­бо­лы на­хо­дим:

5 минус дробь: чис­ли­тель: 6, зна­ме­на­тель: x конец дроби =ax минус 1 рав­но­силь­но 5x минус 6=ax в квад­ра­те минус x рав­но­силь­но ax в квад­ра­те минус 6x плюс 6=0.

Для точки ка­са­ния дис­кри­ми­нант D=9 минус 6a дол­жен быть равен нулю, от­ку­да a= дробь: чис­ли­тель: 3, зна­ме­на­тель: 2 конец дроби . Таким об­ра­зом,  дробь: чис­ли­тель: 5, зна­ме­на­тель: 6 конец дроби мень­ше a мень­ше дробь: чис­ли­тель: 3, зна­ме­на­тель: 2 конец дроби .

 

Ответ:  дробь: чис­ли­тель: 5, зна­ме­на­тель: 6 конец дроби мень­ше a мень­ше дробь: чис­ли­тель: 3, зна­ме­на­тель: 2 конец дроби .





При­мер 1.

Оцените это решение в баллах:

При­мер 2.

Оцените это решение в баллах:

При­мер 3.

Оцените это решение в баллах:



Задание № 507187

Най­ди­те все зна­че­ния a, при каж­дом из ко­то­рых функ­ция f левая круг­лая скоб­ка x пра­вая круг­лая скоб­ка =x в квад­ра­те минус 2|x минус a в квад­ра­те | минус 6x имеет более двух точек экс­тре­му­ма.


Решение

Рас­кро­ем мо­дуль:

f левая круг­лая скоб­ка x пра­вая круг­лая скоб­ка = си­сте­ма вы­ра­же­ний  новая стро­ка x в квад­ра­те минус 8x плюс 2a в квад­ра­те ,приx боль­ше или равно a в квад­ра­те , новая стро­ка x в квад­ра­те минус 4x минус 2a в квад­ра­те ,приx мень­ше a в квад­ра­те . конец си­сте­мы

Гра­фик функ­ции при x боль­ше или равно a в квад­ра­те пред­став­ля­ет собой па­ра­бо­лу с вет­вя­ми верх и вер­ши­ной с абс­цис­сой x=4. При x мень­ше a в квад­ра­те гра­фик пред­став­ля­ет собой па­ра­бо­лу с вет­вя­ми верх и вер­ши­ной с абс­цис­сой x=2. Рас­смот­рим все воз­мож­ные кон­фи­гу­ра­ции при раз­лич­ных зна­че­ни­ях a:

Из ри­сун­ка видно, что гра­фик имеет более двух точек экс­тре­му­ма при 2 мень­ше a в квад­ра­те мень­ше 4 рав­но­силь­но со­во­куп­ность вы­ра­же­ний  новая стро­ка минус 2 мень­ше a мень­ше минус ко­рень из: на­ча­ло ар­гу­мен­та: 2 конец ар­гу­мен­та , новая стро­ка ко­рень из: на­ча­ло ар­гу­мен­та: 2 конец ар­гу­мен­та мень­ше a мень­ше 2. конец со­во­куп­но­сти

 

Ответ:  левая круг­лая скоб­ка минус 2; минус ко­рень из: на­ча­ло ар­гу­мен­та: 2 конец ар­гу­мен­та пра­вая круг­лая скоб­ка \cup левая круг­лая скоб­ка ко­рень из: на­ча­ло ар­гу­мен­та: 2 конец ар­гу­мен­та ;2 пра­вая круг­лая скоб­ка .





При­мер 1.

Оцените это решение в баллах:



Задание № 507190

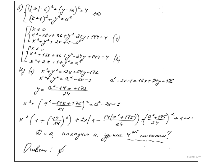
Най­ди­те все по­ло­жи­тель­ные зна­че­ния а, при каж­дом из ко­то­рых си­сте­ма

 си­сте­ма вы­ра­же­ний  новая стро­ка левая круг­лая скоб­ка |x| минус 6 пра­вая круг­лая скоб­ка в квад­ра­те плюс левая круг­лая скоб­ка y минус 12 пра­вая круг­лая скоб­ка в квад­ра­те =4,  новая стро­ка левая круг­лая скоб­ка x плюс 1 пра­вая круг­лая скоб­ка в квад­ра­те плюс y в квад­ра­те =a в квад­ра­те конец си­сте­мы .

имеет един­ствен­ное ре­ше­ние.

Решение

Если x боль­ше или равно 0, то урав­не­ние  левая круг­лая скоб­ка |x| минус 6 пра­вая круг­лая скоб­ка в квад­ра­те плюс левая круг­лая скоб­ка y минус 12 пра­вая круг­лая скоб­ка в квад­ра­те =4 задаёт окруж­ность \omega_1, с цен­тром в точке C_1 левая круг­лая скоб­ка 6;12 пра­вая круг­лая скоб­ка ра­ди­у­са 2, а если x мень­ше 0, то оно задаёт окруж­ность \omega_2 с цен­тром в точке C_2 левая круг­лая скоб­ка минус 6;12 пра­вая круг­лая скоб­ка того же ра­ди­у­са (см. рис.).

При по­ло­жи­тель­ных зна­че­ни­ях па­ра­мет­ра а урав­не­ние  левая круг­лая скоб­ка x плюс 1 пра­вая круг­лая скоб­ка в квад­ра­те плюс y в квад­ра­те =a в квад­ра­те за­да­ет окруж­ность \omega с цен­тром в точке C левая круг­лая скоб­ка минус 1;0 пра­вая круг­лая скоб­ка ра­ди­у­са а. По­это­му за­да­ча со­сто­ит в том, чтобы найти все зна­че­ния па­ра­мет­ра а, при каж­дом из ко­то­рых окруж­ность \omega имеет един­ствен­ную общую точку с объ­еди­не­ни­ем окруж­но­стей \omega_1 и \omega_2.

Из точки С про­ведём луч CC_1 и обо­зна­чим A_1 и B_1 точки его пе­ре­се­че­ния с окруж­но­стью \omega_1, где A_1 лежит между C и C_1. Так как CC_1= ко­рень из: на­ча­ло ар­гу­мен­та: левая круг­лая скоб­ка 1 плюс 6 пра­вая круг­лая скоб­ка в квад­ра­те плюс 12 в квад­ра­те конец ар­гу­мен­та = ко­рень из: на­ча­ло ар­гу­мен­та: 193 конец ар­гу­мен­та , то CA_1= ко­рень из: на­ча­ло ар­гу­мен­та: 193 конец ар­гу­мен­та минус 2,CB_1= ко­рень из: на­ча­ло ар­гу­мен­та: 193 конец ар­гу­мен­та плюс 2.

При a мень­ше CA_1 или a боль­ше CB_1 окруж­но­сти \omega_1 и \omega не пе­ре­се­ка­ют­ся. При CA_1 мень­ше a мень­ше CB_1 окруж­но­сти \omega_1 и \omega имеют две общие точки. При a=CA_1 или a=CB_1 окруж­но­сти \omega_1 и \omega ка­са­ют­ся.

Из точки С про­ведём луч CC_2 и обо­зна­чим A_2 и B_2 точки его пе­ре­се­че­ния с окруж­но­стью \omega_2, где A_2 лежит между C и C_2. Так как CC_2= ко­рень из: на­ча­ло ар­гу­мен­та: левая круг­лая скоб­ка 6 минус 1 пра­вая круг­лая скоб­ка в квад­ра­те плюс 12 в квад­ра­те конец ар­гу­мен­та =13, то CA_2=13 минус 2=11,CB_2=13 плюс 2=15.

При a мень­ше CA_2 или a боль­ше CB_2 окруж­но­сти \omega и \omega_2 не пе­ре­се­ка­ют­ся. При CA_2 мень­ше a мень­ше CB_2 окруж­но­сти \omega и \omega_2 имеют две общие точки. При a=CA_2 или a=CB_2 окруж­но­сти \omega и \omega_2 ка­са­ют­ся.

Ис­ход­ная си­сте­ма имеет един­ствен­ное ре­ше­ние тогда и толь­ко тогда, когда окруж­ность \omega ка­са­ет­ся ровно одной из двух окруж­но­стей \omega_1 и \omega_2, и не пе­ре­се­ка­ет­ся с дру­гой. Так как CA_2 мень­ше CA_1 мень­ше CB_2 мень­ше CB_1, то усло­вию за­да­чи удо­вле­тво­ря­ют толь­ко числа a=11 и a= ко­рень из: на­ча­ло ар­гу­мен­та: 193 конец ар­гу­мен­та плюс 2.

 

Ответ: 11,  ко­рень из: на­ча­ло ар­гу­мен­та: 193 конец ар­гу­мен­та плюс 2.





При­мер 1.

Оцените это решение в баллах:

При­мер 2.

Оцените это решение в баллах:



Задание № 507191

Най­ди­те все зна­че­ния a, при каж­дом из ко­то­рых функ­ция f левая круг­лая скоб­ка x пра­вая круг­лая скоб­ка =x в квад­ра­те минус 2|x минус a в квад­ра­те | минус 8x имеет более двух точек экс­тре­му­ма.


Решение

Рас­кро­ем мо­дуль:

f левая круг­лая скоб­ка x пра­вая круг­лая скоб­ка = си­сте­ма вы­ра­же­ний  новая стро­ка x в квад­ра­те минус 10x плюс 2a в квад­ра­те ,приx боль­ше или равно a в квад­ра­те , новая стро­ка x в квад­ра­те минус 6x минус 2a в квад­ра­те ,приx мень­ше a в квад­ра­те . конец си­сте­мы

Гра­фик функ­ции при x боль­ше или равно a в квад­ра­те пред­став­ля­ет собой па­ра­бо­лу с вет­вя­ми верх и вер­ши­ной с абс­цис­сой x=5. При x мень­ше a в квад­ра­те гра­фик пред­став­ля­ет собой па­ра­бо­лу с вет­вя­ми верх и вер­ши­ной с абс­цис­сой x=3. Рас­смот­рим все воз­мож­ные кон­фи­гу­ра­ции при раз­лич­ных зна­че­ни­ях a:

Из ри­сун­ка видно, что гра­фик имеет более двух точек экс­тре­му­ма при 3 мень­ше a в квад­ра­те мень­ше 5 рав­но­силь­но со­во­куп­ность вы­ра­же­ний  новая стро­ка минус ко­рень из: на­ча­ло ар­гу­мен­та: 5 конец ар­гу­мен­та мень­ше a мень­ше минус ко­рень из: на­ча­ло ар­гу­мен­та: 3 конец ар­гу­мен­та , новая стро­ка ко­рень из: на­ча­ло ар­гу­мен­та: 3 конец ар­гу­мен­та мень­ше a мень­ше ко­рень из: на­ча­ло ар­гу­мен­та: 5 конец ар­гу­мен­та . конец со­во­куп­но­сти

 

Ответ:  левая круг­лая скоб­ка минус ко­рень из: на­ча­ло ар­гу­мен­та: 5 конец ар­гу­мен­та ; минус ко­рень из: на­ча­ло ар­гу­мен­та: 3 конец ар­гу­мен­та пра­вая круг­лая скоб­ка \cup левая круг­лая скоб­ка ко­рень из: на­ча­ло ар­гу­мен­та: 3 конец ар­гу­мен­та ; ко­рень из: на­ча­ло ар­гу­мен­та: 5 конец ар­гу­мен­та пра­вая круг­лая скоб­ка .





Оцените это решение в баллах:



Задание № 507192

Най­ди­те все зна­че­ния а. при каж­дом из ко­то­рых урав­не­ние

\left| дробь: чис­ли­тель: 5, зна­ме­на­тель: x конец дроби минус 3|=ax минус 1

 

на про­ме­жут­ке  левая круг­лая скоб­ка 0, плюс бес­ко­неч­ность пра­вая круг­лая скоб­ка имеет более двух кор­ней.


Решение

Рас­смот­рим функ­ции f левая круг­лая скоб­ка x пра­вая круг­лая скоб­ка =ax минус 1 и g левая круг­лая скоб­ка x пра­вая круг­лая скоб­ка =\left| дробь: чис­ли­тель: 5, зна­ме­на­тель: x конец дроби минус 3|. Ис­сле­ду­ем урав­не­ние f левая круг­лая скоб­ка x пра­вая круг­лая скоб­ка =g левая круг­лая скоб­ка x пра­вая круг­лая скоб­ка на про­ме­жут­ке  левая круг­лая скоб­ка 0, плюс бес­ко­неч­ность пра­вая круг­лая скоб­ка .

При a мень­ше или равно 0 все зна­че­ния функ­ции f левая круг­лая скоб­ка x пра­вая круг­лая скоб­ка на про­ме­жут­ке  левая круг­лая скоб­ка 0, плюс бес­ко­неч­ность пра­вая круг­лая скоб­ка от­ри­ца­тель­ны, а все зна­че­ния функ­ции g левая круг­лая скоб­ка x пра­вая круг­лая скоб­ка   — не­от­ри­ца­тель­ны, по­это­му при a мень­ше или равно 0 урав­не­ние f левая круг­лая скоб­ка x пра­вая круг­лая скоб­ка =g левая круг­лая скоб­ка x пра­вая круг­лая скоб­ка не имеет ре­ше­ний на про­ме­жут­ке  левая круг­лая скоб­ка 0, плюс бес­ко­неч­ность пра­вая круг­лая скоб­ка .

При a боль­ше 0 функ­ция f левая круг­лая скоб­ка x пра­вая круг­лая скоб­ка воз­рас­та­ет. Функ­ция g левая круг­лая скоб­ка x пра­вая круг­лая скоб­ка убы­ва­ет на про­ме­жут­ке  левая круг­лая скоб­ка 0, дробь: чис­ли­тель: 5, зна­ме­на­тель: 3 конец дроби пра­вая квад­рат­ная скоб­ка , по­это­му урав­не­ние f левая круг­лая скоб­ка x пра­вая круг­лая скоб­ка =g левая круг­лая скоб­ка x пра­вая круг­лая скоб­ка имеет не более од­но­го ре­ше­ния на про­ме­жут­ке  левая круг­лая скоб­ка 0, дробь: чис­ли­тель: 5, зна­ме­на­тель: 3 конец дроби пра­вая квад­рат­ная скоб­ка , при­чем ре­ше­ние будет су­ще­ство­вать тогда и толь­ко тогда, когда, f левая круг­лая скоб­ка дробь: чис­ли­тель: 5, зна­ме­на­тель: 3 конец дроби пра­вая круг­лая скоб­ка боль­ше или равно g левая круг­лая скоб­ка дробь: чис­ли­тель: 5, зна­ме­на­тель: 3 конец дроби пра­вая круг­лая скоб­ка , от­ку­да по­лу­ча­ем a умно­жить на дробь: чис­ли­тель: 5, зна­ме­на­тель: 3 конец дроби минус 1 боль­ше или равно 0, то есть a боль­ше или равно дробь: чис­ли­тель: 3, зна­ме­на­тель: 5 конец дроби .

На про­ме­жут­ке  левая круг­лая скоб­ка дробь: чис­ли­тель: 5, зна­ме­на­тель: 3 конец дроби , плюс бес­ко­неч­ность пра­вая круг­лая скоб­ка урав­не­ние f левая круг­лая скоб­ка x пра­вая круг­лая скоб­ка =g левая круг­лая скоб­ка x пра­вая круг­лая скоб­ка при­ни­ма­ет вид ax минус 1=3 минус дробь: чис­ли­тель: 5, зна­ме­на­тель: x конец дроби . Это урав­не­ние сво­дит­ся к урав­не­нию ax в квад­ра­те минус 4x плюс 5=0. Будем счи­тать, что a боль­ше 0, по­сколь­ку слу­чай a мень­ше или равно 0 был рас­смот­рен ранее. Дис­кри­ми­нант квад­рат­но­го урав­не­ния D=16 минус 20a, по­это­му при a боль­ше дробь: чис­ли­тель: 4, зна­ме­на­тель: 5 конец дроби это урав­не­ние не имеет кор­ней, при a= дробь: чис­ли­тель: 4, зна­ме­на­тель: 5 конец дроби урав­не­ние имеет един­ствен­ный ко­рень, рав­ный  дробь: чис­ли­тель: 5, зна­ме­на­тель: 2 конец дроби , при 0 мень­ше a мень­ше дробь: чис­ли­тель: 4, зна­ме­на­тель: 5 конец дроби урав­не­ние имеет два корня.

Если урав­не­ние имеет два корня x_1 и x_2, то есть 0 мень­ше a мень­ше дробь: чис­ли­тель: 4, зна­ме­на­тель: 5 конец дроби , то боль­ший ко­рень x_2= дробь: чис­ли­тель: 4 плюс ко­рень из: на­ча­ло ар­гу­мен­та: D конец ар­гу­мен­та , зна­ме­на­тель: 2a конец дроби боль­ше дробь: чис­ли­тель: 4, зна­ме­на­тель: 2a конец дроби боль­ше 2 боль­ше дробь: чис­ли­тель: 5, зна­ме­на­тель: 3 конец дроби , по­это­му он при­над­ле­жит про­ме­жут­ку  левая круг­лая скоб­ка дробь: чис­ли­тель: 5, зна­ме­на­тель: 3 конец дроби , плюс бес­ко­неч­ность пра­вая круг­лая скоб­ка . Мень­ший ко­рень x_1 при­над­ле­жит про­ме­жут­ку  левая круг­лая скоб­ка дробь: чис­ли­тель: 5, зна­ме­на­тель: 3 конец дроби , плюс бес­ко­неч­ность пра­вая круг­лая скоб­ка тогда и толь­ко тогда, когда

 

 a левая круг­лая скоб­ка x_1 минус дробь: чис­ли­тель: 5, зна­ме­на­тель: 3 конец дроби пра­вая круг­лая скоб­ка левая круг­лая скоб­ка x_2 минус дробь: чис­ли­тель: 5, зна­ме­на­тель: 3 конец дроби пра­вая круг­лая скоб­ка =a умно­жить на левая круг­лая скоб­ка дробь: чис­ли­тель: 5, зна­ме­на­тель: 3 конец дроби пра­вая круг­лая скоб­ка в квад­ра­те минус 4 умно­жить на дробь: чис­ли­тель: 5, зна­ме­на­тель: 3 конец дроби плюс 5= дробь: чис­ли­тель: 25a минус 15, зна­ме­на­тель: 9 конец дроби боль­ше 0, то есть a боль­ше дробь: чис­ли­тель: 3, зна­ме­на­тель: 5 конец дроби .

 

Таким об­ра­зом, ис­ход­ное урав­не­ние \left| дробь: чис­ли­тель: 5, зна­ме­на­тель: x конец дроби минус 3|=ax минус 1 имеет сле­ду­ю­щее ко­ли­че­ство кор­ней на про­ме­жут­ке  левая круг­лая скоб­ка 0, плюс бес­ко­неч­ность пра­вая круг­лая скоб­ка :

  — нет кор­ней при a мень­ше или равно 0;

  — один ко­рень при 0 мень­ше a мень­ше дробь: чис­ли­тель: 3, зна­ме­на­тель: 5 конец дроби и a боль­ше дробь: чис­ли­тель: 4, зна­ме­на­тель: 5 конец дроби ;

  — два корня при a= дробь: чис­ли­тель: 3, зна­ме­на­тель: 5 конец дроби и a= дробь: чис­ли­тель: 4, зна­ме­на­тель: 5 конец дроби ;

  — три корня при  дробь: чис­ли­тель: 3, зна­ме­на­тель: 5 конец дроби мень­ше a мень­ше дробь: чис­ли­тель: 4, зна­ме­на­тель: 5 конец дроби .

 

Ответ:  дробь: чис­ли­тель: 3, зна­ме­на­тель: 5 конец дроби мень­ше a мень­ше дробь: чис­ли­тель: 4, зна­ме­на­тель: 5 конец дроби .





При­мер 1.

Оцените это решение в баллах:



Наверх
Вернуться на основную страницу «Школы экспертов»