Школа экспертов
Вернуться на основную страницу «Школы экспертов»

Ниже представлены ученические решения экзаменационных заданий. Оцените каждое из них в соответствии с критериями проверки заданий ЕГЭ. После нажатия кнопки «Проверить» вы узнаете правильный балл за каждое из решений. В конце будут подведены итоги.

Задание 484589
Задание 506148
Задание 507175
Задание 510101
Задание 513099
Задание 513100
Задание 513101
Задание 515921
Задание 559487
Задание 559488
Задание 559521


Задание № 484589

Ре­ши­те не­ра­вен­ство  ло­га­рифм по ос­но­ва­нию 2 левая круг­лая скоб­ка x в квад­ра­те плюс 4x пра­вая круг­лая скоб­ка плюс ло­га­рифм по ос­но­ва­нию левая круг­лая скоб­ка 0,5 пра­вая круг­лая скоб­ка дробь: чис­ли­тель: x, зна­ме­на­тель: 4 конец дроби плюс 2 боль­ше или равно ло­га­рифм по ос­но­ва­нию 2 левая круг­лая скоб­ка x в квад­ра­те плюс 3x минус 4 пра­вая круг­лая скоб­ка .


Решение

Не­ра­вен­ство имеет смысл при

 си­сте­ма вы­ра­же­ний x в квад­ра­те плюс 4x боль­ше 0, x боль­ше 0, x в квад­ра­те плюс 3x минус 4 боль­ше 0 конец си­сте­мы . рав­но­силь­но си­сте­ма вы­ра­же­ний x левая круг­лая скоб­ка x плюс 4 пра­вая круг­лая скоб­ка боль­ше 0, x боль­ше 0, левая круг­лая скоб­ка x минус 1 пра­вая круг­лая скоб­ка левая круг­лая скоб­ка x плюс 4 пра­вая круг­лая скоб­ка боль­ше 0 конец си­сте­мы . рав­но­силь­но x боль­ше 1.

Для таких x по­лу­ча­ем:

 ло­га­рифм по ос­но­ва­нию 2 левая круг­лая скоб­ка x левая круг­лая скоб­ка x плюс 4 пра­вая круг­лая скоб­ка пра­вая круг­лая скоб­ка минус ло­га­рифм по ос­но­ва­нию 2 дробь: чис­ли­тель: x, зна­ме­на­тель: 4 конец дроби плюс 2 боль­ше или равно ло­га­рифм по ос­но­ва­нию 2 левая круг­лая скоб­ка левая круг­лая скоб­ка x минус 1 пра­вая круг­лая скоб­ка левая круг­лая скоб­ка x плюс 4 пра­вая круг­лая скоб­ка пра­вая круг­лая скоб­ка рав­но­силь­но
 рав­но­силь­но ло­га­рифм по ос­но­ва­нию 2 x плюс ло­га­рифм по ос­но­ва­нию 2 левая круг­лая скоб­ка x плюс 4 пра­вая круг­лая скоб­ка минус ло­га­рифм по ос­но­ва­нию 2 x плюс 4 боль­ше или равно ло­га­рифм по ос­но­ва­нию 2 левая круг­лая скоб­ка x минус 1 пра­вая круг­лая скоб­ка плюс ло­га­рифм по ос­но­ва­нию 2 левая круг­лая скоб­ка x плюс 4 пра­вая круг­лая скоб­ка рав­но­силь­но
 рав­но­силь­но ло­га­рифм по ос­но­ва­нию 2 левая круг­лая скоб­ка x минус 1 пра­вая круг­лая скоб­ка мень­ше или равно 4 рав­но­силь­но x минус 1 мень­ше или равно 16 рав­но­силь­но x мень­ше или равно 17.

Зна­чит, 1 мень­ше x мень­ше или равно 17.

 

Ответ:  левая круг­лая скоб­ка 1;17 пра­вая квад­рат­ная скоб­ка .



Кри­те­рии оце­ни­ва­ния вы­пол­не­ния за­да­нияБаллы
Обос­но­ван­но по­лу­чен вер­ный ответ2
Обос­но­ван­но по­лу­чен ответ, от­ли­ча­ю­щий­ся от вер­но­го ис­клю­че­ни­ем точек,

ИЛИ

по­лу­чен не­вер­ный ответ из-за вы­чис­ли­тель­ной ошиб­ки, но при этом име­ет­ся вер­ная по­сле­до­ва­тель­ность всех шагов ре­ше­ния

1
Ре­ше­ние не со­от­вет­ству­ет ни од­но­му из кри­те­ри­ев, пе­ре­чис­лен­ных выше.0
Мак­си­маль­ный балл2


При­мер 1.

 

Оцените это решение в баллах:



Задание № 506148

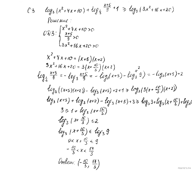
Ре­ши­те не­ра­вен­ство  ло­га­рифм по ос­но­ва­нию 3 левая круг­лая скоб­ка x в квад­ра­те плюс 7x плюс 10 пра­вая круг­лая скоб­ка плюс ло­га­рифм по ос­но­ва­нию дробь: чис­ли­тель: 1, зна­ме­на­тель: 3 конец дроби дробь: чис­ли­тель: x плюс 5, зна­ме­на­тель: 9 конец дроби плюс 1 боль­ше или равно ло­га­рифм по ос­но­ва­нию 3 левая круг­лая скоб­ка 3x в квад­ра­те плюс 16x плюс 20 пра­вая круг­лая скоб­ка .


Решение

Найдём огра­ни­че­ния на x:

 си­сте­ма вы­ра­же­ний  новая стро­ка x в квад­ра­те плюс 7x плюс 10 боль­ше 0, новая стро­ка x плюс 5 боль­ше 0,  новая стро­ка 3x в квад­ра­те плюс 16x плюс 20 боль­ше 0 конец си­сте­мы рав­но­силь­но си­сте­ма вы­ра­же­ний  новая стро­ка левая круг­лая скоб­ка x плюс 2 пра­вая круг­лая скоб­ка левая круг­лая скоб­ка x плюс 5 пра­вая круг­лая скоб­ка боль­ше 0, новая стро­ка x плюс 5 боль­ше 0,  новая стро­ка 3 левая круг­лая скоб­ка x плюс дробь: чис­ли­тель: 10, зна­ме­на­тель: 3 конец дроби пра­вая круг­лая скоб­ка левая круг­лая скоб­ка x плюс 2 пра­вая круг­лая скоб­ка боль­ше 0 конец си­сте­мы рав­но­силь­но си­сте­ма вы­ра­же­ний  новая стро­ка x плюс 2 боль­ше 0, новая стро­ка x плюс 5 боль­ше 0, новая стро­ка x плюс дробь: чис­ли­тель: 10, зна­ме­на­тель: 3 конец дроби боль­ше 0 конец си­сте­мы рав­но­силь­но  си­сте­ма вы­ра­же­ний  новая стро­ка x боль­ше минус 2, новая стро­ка x боль­ше минус 5 новая стро­ка x боль­ше минус дробь: чис­ли­тель: 10, зна­ме­на­тель: 3 конец дроби . конец си­сте­мы рав­но­силь­но x боль­ше минус 2.

Вос­поль­зу­ем­ся свой­ства­ми ло­га­риф­мов:

 ло­га­рифм по ос­но­ва­нию 3 левая круг­лая скоб­ка x в квад­ра­те плюс 7x плюс 10 пра­вая круг­лая скоб­ка плюс ло­га­рифм по ос­но­ва­нию дробь: чис­ли­тель: 1, зна­ме­на­тель: 3 конец дроби дробь: чис­ли­тель: x плюс 5, зна­ме­на­тель: 9 конец дроби плюс 1 боль­ше или равно ло­га­рифм по ос­но­ва­нию 3 левая круг­лая скоб­ка 3x в квад­ра­те плюс 16x плюс 20 пра­вая круг­лая скоб­ка рав­но­силь­но

 рав­но­силь­но ло­га­рифм по ос­но­ва­нию 3 левая круг­лая скоб­ка x в квад­ра­те плюс 7x плюс 10 пра­вая круг­лая скоб­ка минус ло­га­рифм по ос­но­ва­нию 3 дробь: чис­ли­тель: x плюс 5, зна­ме­на­тель: 9 конец дроби плюс ло­га­рифм по ос­но­ва­нию 3 3 боль­ше или равно ло­га­рифм по ос­но­ва­нию 3 левая круг­лая скоб­ка 3x в квад­ра­те плюс 16x плюс 20 пра­вая круг­лая скоб­ка рав­но­силь­но

 рав­но­силь­но ло­га­рифм по ос­но­ва­нию 3 дробь: чис­ли­тель: 27 левая круг­лая скоб­ка x плюс 2 пра­вая круг­лая скоб­ка левая круг­лая скоб­ка x плюс 5 пра­вая круг­лая скоб­ка , зна­ме­на­тель: левая круг­лая скоб­ка x плюс 5 пра­вая круг­лая скоб­ка конец дроби боль­ше или равно ло­га­рифм по ос­но­ва­нию 3 левая круг­лая скоб­ка левая круг­лая скоб­ка 3x плюс 10 пра­вая круг­лая скоб­ка левая круг­лая скоб­ка x плюс 2 пра­вая круг­лая скоб­ка пра­вая круг­лая скоб­ка рав­но­силь­но ло­га­рифм по ос­но­ва­нию 3 левая круг­лая скоб­ка 27x плюс 54 пра­вая круг­лая скоб­ка боль­ше или равно ло­га­рифм по ос­но­ва­нию 3 левая круг­лая скоб­ка 3x в квад­ра­те плюс 16x плюс 20 пра­вая круг­лая скоб­ка рав­но­силь­но

 рав­но­силь­но 27x плюс 54\geqslant3x в квад­ра­те плюс 16x плюс 20 рав­но­силь­но 3x в квад­ра­те минус 11x минус 34 мень­ше или равно 0 рав­но­силь­но 3 левая круг­лая скоб­ка x плюс 2 пра­вая круг­лая скоб­ка левая круг­лая скоб­ка x минус дробь: чис­ли­тель: 17, зна­ме­на­тель: 3 конец дроби пра­вая круг­лая скоб­ка \leqslant0 рав­но­силь­но минус 2 мень­ше или равно x мень­ше или равно дробь: чис­ли­тель: 17, зна­ме­на­тель: 3 конец дроби .

От­ку­да, с уче­том ОДЗ, по­лу­ча­ем ответ.

 

Ответ:  левая круг­лая скоб­ка минус 2, дробь: чис­ли­тель: 17, зна­ме­на­тель: 3 конец дроби пра­вая квад­рат­ная скоб­ка .





При­мер 1.

Оцените это решение в баллах:

При­мер 2.

Оцените это решение в баллах:

При­мер 3.

Оцените это решение в баллах:

При­мер 4.

Оцените это решение в баллах:

При­мер 5.

Оцените это решение в баллах:



Задание № 507175

Ре­ши­те не­ра­вен­ство  левая круг­лая скоб­ка 2x минус 3 минус дробь: чис­ли­тель: 5, зна­ме­на­тель: x конец дроби пра­вая круг­лая скоб­ка левая круг­лая скоб­ка дробь: чис­ли­тель: 14, зна­ме­на­тель: x плюс 1 конец дроби плюс 2 плюс левая круг­лая скоб­ка ко­рень из: на­ча­ло ар­гу­мен­та: минус 1 минус 2x конец ар­гу­мен­та пра­вая круг­лая скоб­ка в квад­ра­те пра­вая круг­лая скоб­ка боль­ше или равно 0.


Решение

Дан­ное не­ра­вен­ство эк­ви­ва­лент­но си­сте­ме не­ра­венств:

 си­сте­ма вы­ра­же­ний  новая стро­ка минус 1 минус 2x боль­ше или равно 0, новая стро­ка дробь: чис­ли­тель: 2x в квад­ра­те минус 3x минус 5, зна­ме­на­тель: x конец дроби умно­жить на дробь: чис­ли­тель: 14 плюс 2x плюс 2 плюс левая круг­лая скоб­ка x плюс 1 пра­вая круг­лая скоб­ка левая круг­лая скоб­ка минус 1 минус 2x пра­вая круг­лая скоб­ка , зна­ме­на­тель: x плюс 1 конец дроби \geqslant0 конец си­сте­мы рав­но­силь­но
 рав­но­силь­но си­сте­ма вы­ра­же­ний  новая стро­ка x мень­ше или равно минус дробь: чис­ли­тель: 1, зна­ме­на­тель: 2 конец дроби , новая стро­ка дробь: чис­ли­тель: левая круг­лая скоб­ка x плюс 1 пра­вая круг­лая скоб­ка левая круг­лая скоб­ка 2x минус 5 пра­вая круг­лая скоб­ка , зна­ме­на­тель: x конец дроби умно­жить на дробь: чис­ли­тель: 16 плюс 2x минус x минус 2x в квад­ра­те минус 1 минус 2x, зна­ме­на­тель: x плюс 1 конец дроби боль­ше или равно 0. конец си­сте­мы

Решим вто­рое не­ра­вен­ство си­сте­мы ме­то­дом ин­тер­ва­лов:

 си­сте­ма вы­ра­же­ний  новая стро­ка дробь: чис­ли­тель: 2x минус 5, зна­ме­на­тель: x конец дроби левая круг­лая скоб­ка минус 2x в квад­ра­те минус x плюс 15 пра­вая круг­лая скоб­ка \geqslant0, новая стро­ка x не равно минус 1 конец си­сте­мы рав­но­силь­но си­сте­ма вы­ра­же­ний  новая стро­ка дробь: чис­ли­тель: 2x минус 5, зна­ме­на­тель: x конец дроби умно­жить на левая круг­лая скоб­ка минус 2 пра­вая круг­лая скоб­ка левая круг­лая скоб­ка x плюс 3 пра­вая круг­лая скоб­ка левая круг­лая скоб­ка x минус дробь: чис­ли­тель: 5, зна­ме­на­тель: 2 конец дроби пра­вая круг­лая скоб­ка боль­ше или равно 0, новая стро­ка x не равно минус 1 конец си­сте­мы рав­но­силь­но си­сте­ма вы­ра­же­ний  новая стро­ка дробь: чис­ли­тель: левая круг­лая скоб­ка 2x минус 5 пра­вая круг­лая скоб­ка в квад­ра­те левая круг­лая скоб­ка x плюс 3 пра­вая круг­лая скоб­ка , зна­ме­на­тель: x конец дроби \leqslant0, новая стро­ка x не равно минус 1. конец си­сте­мы

От­ме­тим на пря­мой точки, как по­ка­за­но на ри­сун­ке:

Учи­ты­вая не­ра­вен­ство x\leqslant минус дробь: чис­ли­тель: 1, зна­ме­на­тель: 2 конец дроби , по­лу­ча­ем ре­ше­ние:  левая квад­рат­ная скоб­ка минус 3, минус 1 пра­вая круг­лая скоб­ка \cup левая круг­лая скоб­ка минус 1; минус дробь: чис­ли­тель: 1, зна­ме­на­тель: 2 конец дроби пра­вая квад­рат­ная скоб­ка .

 

Ответ:  левая квад­рат­ная скоб­ка минус 3; минус 1 пра­вая круг­лая скоб­ка \cup левая круг­лая скоб­ка минус 1; минус дробь: чис­ли­тель: 1, зна­ме­на­тель: 2 конец дроби пра­вая квад­рат­ная скоб­ка .





При­мер 1.

Оцените это решение в баллах:

При­мер 2.

Оцените это решение в баллах:

При­мер 3.

Оцените это решение в баллах:

При­мер 4.

Оцените это решение в баллах:



Задание № 510101

Ре­ши­те не­ра­вен­ство:  дробь: чис­ли­тель: 13 минус 5 умно­жить на 3 в сте­пе­ни x , зна­ме­на­тель: 9 в сте­пе­ни x минус 12 умно­жить на 3 в сте­пе­ни x плюс 27 конец дроби \geqslant0,5.


Решение

Пусть t = 3x, тогда:

 дробь: чис­ли­тель: 13 минус 5t, зна­ме­на­тель: t в квад­ра­те минус 12t плюс 27 конец дроби \geqslant0,5 рав­но­силь­но дробь: чис­ли­тель: t в квад­ра­те минус 2t плюс 1, зна­ме­на­тель: t в квад­ра­те минус 12t плюс 27 конец дроби \leqslant0 рав­но­силь­но дробь: чис­ли­тель: левая круг­лая скоб­ка t минус 1 пра­вая круг­лая скоб­ка в квад­ра­те , зна­ме­на­тель: левая круг­лая скоб­ка t минус 3 пра­вая круг­лая скоб­ка левая круг­лая скоб­ка t минус 9 пра­вая круг­лая скоб­ка конец дроби \leqslant0 рав­но­силь­но со­во­куп­ность вы­ра­же­ний t=1,3 мень­ше t мень­ше 9. конец со­во­куп­но­сти .

Тогда либо 3 в сте­пе­ни x = 1, от­ку­да x= 0, либо 3 мень­ше t мень­ше 9, от­ку­да 1 мень­ше x мень­ше 2.

 

Ответ:  левая фи­гур­ная скоб­ка 0 пра­вая фи­гур­ная скоб­ка \cup левая круг­лая скоб­ка 1; 2 пра­вая круг­лая скоб­ка .





При­мер 2.

Оцените это решение в баллах:



Задание № 513099

Ре­ши­те не­ра­вен­ство  дробь: чис­ли­тель: 2, зна­ме­на­тель: 7 в сте­пе­ни x минус 7 конец дроби боль­ше или равно дробь: чис­ли­тель: 5, зна­ме­на­тель: 7 в сте­пе­ни x минус 4 конец дроби .


Решение

От­но­си­тель­но t=7 в сте­пе­ни x не­ра­вен­ство имеет вид:

 дробь: чис­ли­тель: 2, зна­ме­на­тель: t минус 7 конец дроби боль­ше или равно дробь: чис­ли­тель: 5, зна­ме­на­тель: t минус 4 конец дроби рав­но­силь­но дробь: чис­ли­тель: 2 левая круг­лая скоб­ка t минус 4 пра­вая круг­лая скоб­ка минус 5 левая круг­лая скоб­ка t минус 7 пра­вая круг­лая скоб­ка , зна­ме­на­тель: левая круг­лая скоб­ка t минус 7 пра­вая круг­лая скоб­ка левая круг­лая скоб­ка t минус 4 пра­вая круг­лая скоб­ка конец дроби \geqslant0 рав­но­силь­но
 рав­но­силь­но дробь: чис­ли­тель: минус 3t плюс 27, зна­ме­на­тель: левая круг­лая скоб­ка t минус 7 пра­вая круг­лая скоб­ка левая круг­лая скоб­ка t минус 4 пра­вая круг­лая скоб­ка конец дроби \geqslant0 рав­но­силь­но дробь: чис­ли­тель: t минус 9, зна­ме­на­тель: левая круг­лая скоб­ка t минус 7 пра­вая круг­лая скоб­ка левая круг­лая скоб­ка t минус 4 пра­вая круг­лая скоб­ка конец дроби \leqslant0 рав­но­силь­но со­во­куп­ность вы­ра­же­ний t мень­ше 4,7 мень­ше t\leqslant9. конец со­во­куп­но­сти .

Воз­вра­ща­ясь к x, по­лу­ча­ем: 7 в сте­пе­ни x мень­ше 4 рав­но­силь­но x мень­ше ло­га­рифм по ос­но­ва­нию 7 4 или 7 мень­ше 7 в сте­пе­ни x \leqslant9 рав­но­силь­но 1 мень­ше x мень­ше или равно ло­га­рифм по ос­но­ва­нию 7 9.

 

Ответ:  левая круг­лая скоб­ка минус бес­ко­неч­ность ; ло­га­рифм по ос­но­ва­нию 7 4 пра­вая круг­лая скоб­ка \cup левая круг­лая скоб­ка 1; ло­га­рифм по ос­но­ва­нию 7 9 пра­вая квад­рат­ная скоб­ка .





При­мер 1.

Оцените это решение в баллах:

При­мер 7.

Оцените это решение в баллах:



Задание № 513100

Ре­ши­те не­ра­вен­ство  дробь: чис­ли­тель: 3, зна­ме­на­тель: левая круг­лая скоб­ка 2 в сте­пе­ни левая круг­лая скоб­ка 2 минус x в квад­ра­те пра­вая круг­лая скоб­ка минус 1 пра­вая круг­лая скоб­ка в квад­ра­те конец дроби минус дробь: чис­ли­тель: 4, зна­ме­на­тель: 2 в сте­пе­ни левая круг­лая скоб­ка 2 минус x в квад­ра­те пра­вая круг­лая скоб­ка минус 1 конец дроби плюс 1\geqslant0.


Решение

Пусть  y=2 в сте­пе­ни левая круг­лая скоб­ка 2 минус x в квад­ра­те пра­вая круг­лая скоб­ка минус 1, тогда

 дробь: чис­ли­тель: 3, зна­ме­на­тель: y в квад­ра­те конец дроби минус дробь: чис­ли­тель: 4, зна­ме­на­тель: y конец дроби плюс 1 \geqslant0.

Введём за­ме­ну t= дробь: чис­ли­тель: 1, зна­ме­на­тель: y конец дроби , решим квад­рат­ное не­ра­вен­ство:

3t в квад­ра­те минус 4t плюс 1 боль­ше или равно 0 рав­но­силь­но со­во­куп­ность вы­ра­же­ний  новая стро­ка t мень­ше или равно дробь: чис­ли­тель: 1, зна­ме­на­тель: 3 конец дроби , новая стро­ка t боль­ше или равно 1. конец со­во­куп­но­сти .

Вернёмся к пе­ре­мен­ной y:

 со­во­куп­ность вы­ра­же­ний  новая стро­ка дробь: чис­ли­тель: 1, зна­ме­на­тель: y конец дроби мень­ше или равно дробь: чис­ли­тель: 1, зна­ме­на­тель: 3 конец дроби , новая стро­ка дробь: чис­ли­тель: 1, зна­ме­на­тель: y конец дроби боль­ше или равно 1 конец со­во­куп­но­сти . рав­но­силь­но со­во­куп­ность вы­ра­же­ний  новая стро­ка дробь: чис­ли­тель: 3 минус y, зна­ме­на­тель: 3y конец дроби мень­ше или равно 0, новая стро­ка дробь: чис­ли­тель: 1 минус y, зна­ме­на­тель: y конец дроби боль­ше или равно 0 конец со­во­куп­но­сти . рав­но­силь­но со­во­куп­ность вы­ра­же­ний  новая стро­ка y мень­ше 0, новая стро­ка y боль­ше или равно 3, новая стро­ка 0 мень­ше y мень­ше или равно 1. конец со­во­куп­но­сти .

Вернёмся к ис­ход­ной пе­ре­мен­ной:

 со­во­куп­ность вы­ра­же­ний  новая стро­ка 2 в сте­пе­ни левая круг­лая скоб­ка 2 минус x в квад­ра­те пра­вая круг­лая скоб­ка минус 1 мень­ше 0, новая стро­ка 2 в сте­пе­ни левая круг­лая скоб­ка 2 минус x в квад­ра­те пра­вая круг­лая скоб­ка минус 1 боль­ше или равно 3, новая стро­ка 0 мень­ше 2 в сте­пе­ни левая круг­лая скоб­ка 2 минус x в квад­ра­те пра­вая круг­лая скоб­ка минус 1 мень­ше или равно 1 конец со­во­куп­но­сти . рав­но­силь­но со­во­куп­ность вы­ра­же­ний  новая стро­ка 2 в сте­пе­ни левая круг­лая скоб­ка 2 минус x в квад­ра­те пра­вая круг­лая скоб­ка мень­ше 1, новая стро­ка 2 в сте­пе­ни левая круг­лая скоб­ка 2 минус x в квад­ра­те пра­вая круг­лая скоб­ка боль­ше или равно 4, новая стро­ка 1 мень­ше 2 в сте­пе­ни левая круг­лая скоб­ка 2 минус x в квад­ра­те пра­вая круг­лая скоб­ка мень­ше или равно 2 конец со­во­куп­но­сти . \underset2 боль­ше 1\mathop рав­но­силь­но
\underset2 боль­ше 1\mathop рав­но­силь­но со­во­куп­ность вы­ра­же­ний  новая стро­ка 2 минус x в квад­ра­те мень­ше 0, новая стро­ка 2 минус x в квад­ра­те боль­ше или равно 2, новая стро­ка 0 мень­ше 2 минус x в квад­ра­те мень­ше или равно 1 конец со­во­куп­но­сти . рав­но­силь­но со­во­куп­ность вы­ра­же­ний  новая стро­ка x в квад­ра­те боль­ше 2, новая стро­ка x в квад­ра­те мень­ше или равно 0, новая стро­ка 1 мень­ше или равно x в квад­ра­те мень­ше 2 конец со­во­куп­но­сти . рав­но­силь­но со­во­куп­ность вы­ра­же­ний  новая стро­ка x мень­ше минус ко­рень из 2 , новая стро­ка x боль­ше ко­рень из 2 , новая стро­ка x = 0, новая стро­ка 1 мень­ше или равно x мень­ше ко­рень из 2 , новая стро­ка минус ко­рень из 2 мень­ше x мень­ше или равно минус 1. конец со­во­куп­но­сти .

 

Ответ:  левая круг­лая скоб­ка минус бес­ко­неч­ность ; минус ко­рень из: на­ча­ло ар­гу­мен­та: 2 конец ар­гу­мен­та пра­вая круг­лая скоб­ка \cup левая круг­лая скоб­ка минус ко­рень из 2 ; минус 1 пра­вая квад­рат­ная скоб­ка \cup левая фи­гур­ная скоб­ка 0 пра­вая фи­гур­ная скоб­ка \cup левая квад­рат­ная скоб­ка 1; ко­рень из: на­ча­ло ар­гу­мен­та: 2 конец ар­гу­мен­та пра­вая круг­лая скоб­ка \cup левая круг­лая скоб­ка ко­рень из 2 ; плюс бес­ко­неч­ность пра­вая круг­лая скоб­ка .





При­мер 3.

Оцените это решение в баллах:



Задание № 513101

Ре­ши­те не­ра­вен­ство  дробь: чис­ли­тель: 5 в сте­пе­ни x , зна­ме­на­тель: 5 в сте­пе­ни x минус 4 конец дроби плюс дробь: чис­ли­тель: 5 в сте­пе­ни x плюс 5, зна­ме­на­тель: 5 в сте­пе­ни x минус 5 конец дроби плюс дробь: чис­ли­тель: 22, зна­ме­на­тель: 25 в сте­пе­ни x минус 9 умно­жить на 5 в сте­пе­ни x плюс 20 конец дроби \leqslant0.


Решение

Обо­зна­чим 5 в сте­пе­ни x за t. По­лу­чим:

 дробь: чис­ли­тель: t, зна­ме­на­тель: t минус 4 конец дроби плюс дробь: чис­ли­тель: t плюс 5, зна­ме­на­тель: t минус 5 конец дроби плюс дробь: чис­ли­тель: 22, зна­ме­на­тель: t в квад­ра­те минус 9t плюс 20 конец дроби мень­ше или равно 0 рав­но­силь­но дробь: чис­ли­тель: t левая круг­лая скоб­ка t минус 5 пра­вая круг­лая скоб­ка плюс левая круг­лая скоб­ка t плюс 5 пра­вая круг­лая скоб­ка левая круг­лая скоб­ка t минус 4 пра­вая круг­лая скоб­ка плюс 22, зна­ме­на­тель: левая круг­лая скоб­ка t минус 4 пра­вая круг­лая скоб­ка левая круг­лая скоб­ка t минус 5 пра­вая круг­лая скоб­ка конец дроби мень­ше или равно 0 рав­но­силь­но

 рав­но­силь­но дробь: чис­ли­тель: 2t в квад­ра­те минус 4t плюс 2, зна­ме­на­тель: левая круг­лая скоб­ка t минус 4 пра­вая круг­лая скоб­ка левая круг­лая скоб­ка t минус 5 пра­вая круг­лая скоб­ка конец дроби мень­ше или равно 0 рав­но­силь­но дробь: чис­ли­тель: левая круг­лая скоб­ка t минус 1 пра­вая круг­лая скоб­ка в квад­ра­те , зна­ме­на­тель: левая круг­лая скоб­ка t минус 4 пра­вая круг­лая скоб­ка левая круг­лая скоб­ка t минус 5 пра­вая круг­лая скоб­ка конец дроби мень­ше или равно 0 со­во­куп­ность вы­ра­же­ний t=1,4 мень­ше t мень­ше 5. конец со­во­куп­но­сти .

Вер­нем­ся к ис­ход­ной пе­ре­мен­ной: 5 в сте­пе­ни x = 1, или 4 мень­ше 5 в сте­пе­ни x мень­ше 5, от­ку­да x = 0 или  ло­га­рифм по ос­но­ва­нию 5 4 мень­ше x мень­ше 1.

 

Ответ:  левая фи­гур­ная скоб­ка 0 пра­вая фи­гур­ная скоб­ка \cup левая круг­лая скоб­ка ло­га­рифм по ос­но­ва­нию 5 4; 1 пра­вая круг­лая скоб­ка .





При­мер 4.

Оцените это решение в баллах:



Задание № 515921

Ре­ши­те не­ра­вен­ство  дробь: чис­ли­тель: 3 в сте­пе­ни x минус 1, зна­ме­на­тель: 3 в сте­пе­ни x минус 3 конец дроби мень­ше или равно 1 плюс дробь: чис­ли­тель: 1, зна­ме­на­тель: 3 в сте­пе­ни x минус 2 конец дроби .


Решение

Пусть t=3 в сте­пе­ни x , тогда не­ра­вен­ство при­мет вид:

 дробь: чис­ли­тель: t минус 1, зна­ме­на­тель: t минус 3 конец дроби мень­ше или равно 1 плюс дробь: чис­ли­тель: 1, зна­ме­на­тель: t минус 2 конец дроби рав­но­силь­но дробь: чис­ли­тель: t минус 1, зна­ме­на­тель: левая круг­лая скоб­ка t минус 2 пра­вая круг­лая скоб­ка левая круг­лая скоб­ка t минус 3 пра­вая круг­лая скоб­ка конец дроби мень­ше или равно 0,

от­ку­да t\leqslant1;2 мень­ше t мень­ше 3.

При t\leqslant1 по­лу­чим: 3 в сте­пе­ни x \leqslant1,от­ку­да x\leqslant0.

При 2 мень­ше t мень­ше 3 по­лу­чим: 2 мень­ше 3 в сте­пе­ни x мень­ше 3,от­ку­да  ло­га­рифм по ос­но­ва­нию 3 2 мень­ше x мень­ше 1.

Ре­ше­ние ис­ход­но­го не­ра­вен­ства: x\leqslant0; ло­га­рифм по ос­но­ва­нию 3 2 мень­ше x мень­ше 1.

 

Ответ:  левая круг­лая скоб­ка минус бес­ко­неч­ность ;0 пра­вая квад­рат­ная скоб­ка \cup левая круг­лая скоб­ка ло­га­рифм по ос­но­ва­нию 3 2;1 пра­вая круг­лая скоб­ка .





При­мер 1.

Оцените это решение в баллах:

При­мер 2.

Оцените это решение в баллах:

При­мер 3.

Оцените это решение в баллах:



Задание № 559487


Решение





При­мер 1

Оцените это решение в баллах:

При­мер 2

Оцените это решение в баллах:

При­мер 3

Оцените это решение в баллах:



Задание № 559488


Решение





При­мер 1

Оцените это решение в баллах:

При­мер 2

Оцените это решение в баллах:



Задание № 559521


Решение





При­мер 1

Оцените это решение в баллах:

При­мер 2

Оцените это решение в баллах:



Наверх
Вернуться на основную страницу «Школы экспертов»