Тип 15 № 511504 

Классификатор алгебры: Иррациональные неравенства, Неравенства смешанного типа
Методы алгебры: Выделение полного квадрата, Метод интервалов
Кодификатор ФИПИ/Решу ЕГЭ: 2.2.9 Метод интервалов
Неравенства. Неравенства, содержащие радикалы
i
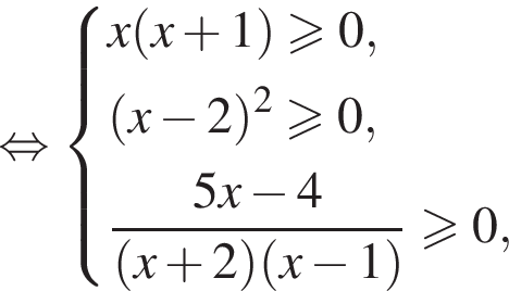
Решите неравенство 
Решение. Перейдем к равносильной системе:



Из первого неравенства получаем
или ![]()
Второе неравенство выполняется при всех ![]()
Из третьего неравенства получаем
или ![]()
Таким образом, множество решений исходного неравенства: 
Ответ: 
Критерии проверки:
| Критерии оценивания выполнения задания | Баллы |
|---|---|
| Обоснованно получен верный ответ | 2 |
| Обоснованно получен ответ, отличающийся от верного исключением точек, ИЛИ получен неверный ответ из-за вычислительной ошибки, но при этом имеется верная последовательность всех шагов решения | 1 |
| Решение не соответствует ни одному из критериев, перечисленных выше. | 0 |
| Максимальный балл | 2 |
Ответ: 

511504

Классификатор алгебры: Иррациональные неравенства, Неравенства смешанного типа
Методы алгебры: Выделение полного квадрата, Метод интервалов
Кодификатор ФИПИ/Решу ЕГЭ: 2.2.9 Метод интервалов